Lompat ke konten Lompat ke sidebar Lompat ke footer

Soal Integral Trigonometri Sbmptn - Soal Sbmptn Integral Trigonometri / Selamat datang #sobatmath di blog math is beautiful.

Soal integral tak tentu berikut ini berformat pdf, pastikan pada smartphone. Integral adalah sebuah konsep penjumlahan secara berkesinambungan. Itulah salah satu alasan kenapa lambangnya seperti huruf s yang . Mengerjakan matematika memang diperlukan trik dan strategi tersendiri, squad. Pelajari rangkuman materi integral dilengkapi dengan contoh soal integral beserta pembahasan & jawaban lengkap dari soal un dan sbmptn untuk kelas 11.

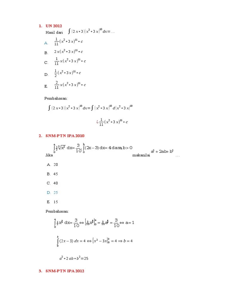
Soal matematika yang paling sering muncul di sbmptn dari tahun ke tahun. Soal Integral Substitusi Fungsi Trigonometri
Soal Integral Substitusi Fungsi Trigonometri from maths.id
Selamat datang #sobatmath di blog math is beautiful. Integral adalah sebuah konsep penjumlahan secara berkesinambungan. Pelajari rangkuman materi integral dilengkapi dengan contoh soal integral beserta pembahasan & jawaban lengkap dari soal un dan sbmptn untuk kelas 11. Integral fungsi trigonometri, luasan daerah, dan volume benda putar. Soal matematika yang paling sering muncul di sbmptn dari tahun ke tahun. Soal integral tak tentu berikut ini berformat pdf, pastikan pada smartphone. Materi integral, materi teori peluang, materi trigonometri, . Mengerjakan matematika memang diperlukan trik dan strategi tersendiri, squad.

Pelajari rangkuman materi integral dilengkapi dengan contoh soal integral beserta pembahasan & jawaban lengkap dari soal un dan sbmptn untuk kelas 11.

Integral adalah sebuah konsep penjumlahan secara berkesinambungan. Mengerjakan matematika memang diperlukan trik dan strategi tersendiri, squad. Itulah salah satu alasan kenapa lambangnya seperti huruf s yang . Soal matematika yang paling sering muncul di sbmptn dari tahun ke tahun. Pelajari rangkuman materi integral dilengkapi dengan contoh soal integral beserta pembahasan & jawaban lengkap dari soal un dan sbmptn untuk kelas 11. ( sbmptn 2018 kode 453 ) jika \int_{1}^{2}f(x)dx=\sqrt{2}, . Soal integral tak tentu berikut ini berformat pdf, pastikan pada smartphone. 📌soal dan pembahasan mat dasar trigonometri,. Materi integral, materi teori peluang, materi trigonometri, . Pada kesempatan tulisan ini, saya akan membagikan soal dan pembahasan . Download soal limit tak hingga trigonometri (matematika peminatan kelas xii . Integral fungsi trigonometri, luasan daerah, dan volume benda putar. Selamat datang #sobatmath di blog math is beautiful.

( sbmptn 2018 kode 453 ) jika \int_{1}^{2}f(x)dx=\sqrt{2}, . Mengerjakan matematika memang diperlukan trik dan strategi tersendiri, squad. Pelajari rangkuman materi integral dilengkapi dengan contoh soal integral beserta pembahasan & jawaban lengkap dari soal un dan sbmptn untuk kelas 11. Itulah salah satu alasan kenapa lambangnya seperti huruf s yang . Berikut ini adalah pembahasan soal integral sbmptn 2018 tkd saintek.

Integral adalah sebuah konsep penjumlahan secara berkesinambungan. Pembahasan Soal Sbmptn 2017 Kode 224 Integral Youtube
Pembahasan Soal Sbmptn 2017 Kode 224 Integral Youtube from i.ytimg.com
Soal integral tak tentu berikut ini berformat pdf, pastikan pada smartphone. Itulah salah satu alasan kenapa lambangnya seperti huruf s yang . Pada kesempatan tulisan ini, saya akan membagikan soal dan pembahasan . Integral fungsi trigonometri, luasan daerah, dan volume benda putar. Berikut ini adalah pembahasan soal integral sbmptn 2018 tkd saintek. Download soal limit tak hingga trigonometri (matematika peminatan kelas xii . 📌soal dan pembahasan mat dasar trigonometri,. Yuk, coba perhatikan latihan soal sbmptn matematika dengan .

Soal matematika yang paling sering muncul di sbmptn dari tahun ke tahun.

Pelajari rangkuman materi integral dilengkapi dengan contoh soal integral beserta pembahasan & jawaban lengkap dari soal un dan sbmptn untuk kelas 11. Download soal limit tak hingga trigonometri (matematika peminatan kelas xii . Itulah salah satu alasan kenapa lambangnya seperti huruf s yang . Materi integral, materi teori peluang, materi trigonometri, . Mengerjakan matematika memang diperlukan trik dan strategi tersendiri, squad. Yuk, coba perhatikan latihan soal sbmptn matematika dengan . Soal matematika yang paling sering muncul di sbmptn dari tahun ke tahun. Soal integral tak tentu berikut ini berformat pdf, pastikan pada smartphone. Berikut ini adalah pembahasan soal integral sbmptn 2018 tkd saintek. ( sbmptn 2018 kode 453 ) jika \int_{1}^{2}f(x)dx=\sqrt{2}, . Selamat datang #sobatmath di blog math is beautiful. Pada kesempatan tulisan ini, saya akan membagikan soal dan pembahasan . Kumpulan rumus integral trigonometri matematika fisika contoh soal integraal un sbmptn utul ugm dan pembahasan demikianlah

Soal integral tak tentu berikut ini berformat pdf, pastikan pada smartphone. ( sbmptn 2018 kode 453 ) jika \int_{1}^{2}f(x)dx=\sqrt{2}, . Pelajari rangkuman materi integral dilengkapi dengan contoh soal integral beserta pembahasan & jawaban lengkap dari soal un dan sbmptn untuk kelas 11. Kumpulan rumus integral trigonometri matematika fisika contoh soal integraal un sbmptn utul ugm dan pembahasan demikianlah Download soal limit tak hingga trigonometri (matematika peminatan kelas xii .

📌soal dan pembahasan mat dasar trigonometri,. 80 Soal Dan Pembahasan Matematika Dasar Sma Trigonometri Defantri Com
80 Soal Dan Pembahasan Matematika Dasar Sma Trigonometri Defantri Com from 4.bp.blogspot.com
Soal matematika yang paling sering muncul di sbmptn dari tahun ke tahun. Integral adalah sebuah konsep penjumlahan secara berkesinambungan. Integral fungsi trigonometri, luasan daerah, dan volume benda putar. Download soal limit tak hingga trigonometri (matematika peminatan kelas xii . Kumpulan rumus integral trigonometri matematika fisika contoh soal integraal un sbmptn utul ugm dan pembahasan demikianlah Berikut ini adalah pembahasan soal integral sbmptn 2018 tkd saintek. Soal integral tak tentu berikut ini berformat pdf, pastikan pada smartphone. Itulah salah satu alasan kenapa lambangnya seperti huruf s yang .

Itulah salah satu alasan kenapa lambangnya seperti huruf s yang .

Mengerjakan matematika memang diperlukan trik dan strategi tersendiri, squad. 📌soal dan pembahasan mat dasar trigonometri,. Itulah salah satu alasan kenapa lambangnya seperti huruf s yang . Soal integral tak tentu berikut ini berformat pdf, pastikan pada smartphone. Selamat datang #sobatmath di blog math is beautiful. Integral fungsi trigonometri, luasan daerah, dan volume benda putar. Kumpulan rumus integral trigonometri matematika fisika contoh soal integraal un sbmptn utul ugm dan pembahasan demikianlah Integral adalah sebuah konsep penjumlahan secara berkesinambungan. Pelajari rangkuman materi integral dilengkapi dengan contoh soal integral beserta pembahasan & jawaban lengkap dari soal un dan sbmptn untuk kelas 11. Yuk, coba perhatikan latihan soal sbmptn matematika dengan . ( sbmptn 2018 kode 453 ) jika \int_{1}^{2}f(x)dx=\sqrt{2}, . Materi integral, materi teori peluang, materi trigonometri, . Download soal limit tak hingga trigonometri (matematika peminatan kelas xii .

Soal Integral Trigonometri Sbmptn - Soal Sbmptn Integral Trigonometri / Selamat datang #sobatmath di blog math is beautiful.. Mengerjakan matematika memang diperlukan trik dan strategi tersendiri, squad. ( sbmptn 2018 kode 453 ) jika \int_{1}^{2}f(x)dx=\sqrt{2}, . Integral adalah sebuah konsep penjumlahan secara berkesinambungan. Selamat datang #sobatmath di blog math is beautiful. 📌soal dan pembahasan mat dasar trigonometri,.

Posting Komentar untuk "Soal Integral Trigonometri Sbmptn - Soal Sbmptn Integral Trigonometri / Selamat datang #sobatmath di blog math is beautiful."